به منظور ارائهی روشی که بتوان از طریق آن بازدهی سبدهای اختصاصی و همچنین عملکرد سبدگردان را ارزیابی نمود از دو فرمول شناخته شده جهانی تحت عناوین "نرخ بازدهی پول وزنی (MWRR)" و "نرخ بازدهی زمان وزنی (TWRR)" استفاده می شود.
نرخ بازدهی پول وزنی (Money Weighted Rate of Return) برای هر سبد اختصاصی محاسبه می شود و به گونه ای طراحی شده تا بیانگر بازدهی هر سبد اختصاصی تحت مدیریت سبدگردان باشد. نرخ بازدهی زمان وزنی (Time Weighted Rate of Return) بیانگر بازدهی کل تمامی دارایی های تحت مدیریت سبدگردان است و نشان می دهد که سبدگردان به طور متوسط تا چه حد در مدیریت سبدهای اختصاصی تحت مدیریت خود ، موفق به کسب بازدهی برای سرمایه گذاران شده است . به عبارت دیگر سرمایه گذاران با توجه به بازدهی سبدگردان ، می توانند عملکرد سبدگردان را ارزیابی نموده و در مورد سپردن مدیریت دارایی خود به سبدگردان تصمیم گیری کنند . سبدگردان ، بازدهی سبد اختصاصی را به صاحب سبد (سرمایه گذار) مربوطه گزارش می کند، در حالیکه موظف است بازدهی سبدگردان را جهت اطلاع عموم در تارنمای خود منتشر کند .
به منظور ارائهی روشی که بتوان از طریق آن بازدهی سبدهای اختصاصی و همچنین عملکرد سبدگردان را ارزیابی نمود از دو فرمول شناخته شده جهانی تحت عناوین "نرخ بازدهی پول وزنی (MWRR)" و "نرخ بازدهی زمان وزنی (TWRR)" استفاده می شود.
نرخ بازدهی پول وزنی (Money Weighted Rate of Return) برای هر سبد اختصاصی محاسبه می شود و به گونه ای طراحی شده تا بیانگر بازدهی هر سبد اختصاصی تحت مدیریت سبدگردان باشد. نرخ بازدهی زمان وزنی (Time Weighted Rate of Return) بیانگر بازدهی کل تمامی دارایی های تحت مدیریت سبدگردان است و نشان می دهد که سبدگردان به طور متوسط تا چه حد در مدیریت سبدهای اختصاصی تحت مدیریت خود ، موفق به کسب بازدهی برای سرمایه گذاران شده است . به عبارت دیگر سرمایه گذاران با توجه به بازدهی سبدگردان ، می توانند عملکرد سبدگردان را ارزیابی نموده و در مورد سپردن مدیریت دارایی خود به سبدگردان تصمیم گیری کنند . سبدگردان ، بازدهی سبد اختصاصی را به صاحب سبد (سرمایه گذار) مربوطه گزارش می کند، در حالیکه موظف است بازدهی سبدگردان را جهت اطلاع عموم در تارنمای خود منتشر کند .
1-روش محاسبه بازدهی سبد اختصاصی
برای محاسبه بازدهی هر سبد اختصاصی از رابطۀ زیر استفاده میشود:
که در آن:
= MWRRit بازدهی سبد اختصاصی iام در دورۀ t،
Eit = ارزش سبد اختصاصی iام در پایان دورۀ t،
Bit = ارزش سبد اختصاصی iام در ابتدای دورۀ t،
Cij = جریان نقدی jام سبد اختصاصی iام در دورۀ t (افزایش سرمایه سرمایهگذار طی دوره به عنوان جریان نقدی ورودی و برداشت وی از سبد اختصاصی بهعنوان جریان نقدی خروجی تلقی میشود. جریان نقدی ورودی با علامت مثبت و جریان خروجی با علامت منفی خواهدبود)،
tij = زمان باقیمانده (به روز) از تاریخ وقوع جریان jام سبد اختصاصی iام تا پایان دورۀ t،
Tit = طول کل دورۀ زمانی مورد نظرt به روز،
2- روش محاسبۀ بازدهی سبدگردان
ابتدا کل دورۀ مورد نظر براساس تاریخ وقوع جریانهای نقدی (افزایش سرمایه یا برداشت سرمایهگذار) و تاریخ انعقاد قرارداد جدید سبدگردانی یا تاریخ خاتمه یک قرارداد سبدگردانی به زیر دورههای متعدد تقسیم میشود. بنابراین اگر جریان ورودی و خروجی در n تاریخ مختلف در طول دورۀ موردنظر، به وقوع بپیوندند، در نتیجه کل دوره به 1 + n زیر دوره تقسیم میشود که در آن زیر دورۀ اول از ابتدای دورۀ مورد نظر شروع شده و تا تاریخ وقوع اولین جریان نقدی ادامه مییابد و زیر دورۀ دوم از تاریخ وقوع جریان نقدی اول شروع شده و تا تاریخ جریان نقدی دوم ادامه مییابد و به همین ترتیب جریان نقدی دورۀ آخر از تاریخ وقوع آخرین جریان نقدی شروع شده و تا پایان دورۀ مورد نظر ادامه مییابد. برای مثال به نمودار زیر توجه شود:
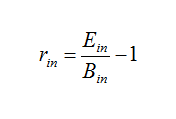
پس از تقسیم کل دوره به زیر دورههای موردنظر، بازدهی هر زیر دورۀ nام به شرح زیر محاسبه میشود:
که در آن:
Ein = ارزش کل داراییهای تحت مدیریت سبدگردان iام (ارزش کل سبدهای اختصاصی سبدگردان) در انتهای زیر دورۀ nام (بدون در نظر گرفتن جریانات نقدی ورودی یا خروجی در انتهای دوره)
= Bin ارزش کل داراییهای تحت مدیریت سبدگردان iام (ارزش کل سبدهای اختصاصی سبدگردان) در ابتدای زیر دورۀ nام (با در نظر گرفتن جریانات نقدی ورودی یا خروجی در ابتدای زیر دوره )
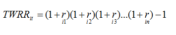
پس از محاسبۀ بازدهی هر زیر دوره، بازدهی سبدگردان برای کل دورۀ موردنظر از رابطۀ زیر محاسبه میشود:
که در آن:
= TWRRit بازدهی سبد گردان i ام در دورۀ t،
=rin بازدهی زیر دورۀ nام داراییهای تحت مدیریت سبدگردان iام
3- سالانه کردن نرخهای بازدهی
برای سالانه کردن هریک از بازدهیهای محاسبهشده از فرمول زیر استفاده می شود:
که در آن:
= Rt بازدهی محاسبه شده (TWRR یا MWRR) که قصد سالانه کردن آن وجود دارد در دورۀ t،
= RA بازدهی سالانه شده،
= T طول دورۀ t به روز
4- چگونگی محاسبۀ ارزش داراییهای سبداختصاصی :
در محاسبۀ نرخ بازدهی سبداختصاصی و نرخ بازدهی سبدگردان به شرح این پیوست، لازم است ارزش سبد یا سبدهای اختصاصی در ابتدا و انتهای هر دورۀ مورد نظر محاسبه گردد. ارزش سبد یا سبدهای اختصاصی باید مطابق دستورالعمل نحوۀ تعیین قیمت خرید و فروش اوراق بهادار در صندوقهای سرمایهگذاری، محاسبه گردد و در اجرای این دستورالعمل نکات زیر در نظر گرفتهشوند:
1-4-ارزش اوراق بهادار سبداختصاصی براساس قیمت فروش اوراق بهادار موضوع دستورالعمل« نحوۀ تعیین قیمت خرید و فروش اوراق بهادار صندوقهای سرمایهگذاری» محاسبه شود.
2-4- سبدگردان نباید قیمت اوراق بهادار سبداختصاصی را براساس آنچه در دستورالعمل یادشده پیشبینی شده است، تعدیل نماید.
3-4-در صورتیکه بخشی از آوردۀ مشتری را ورقۀ بهاداری تشکیل دهد که در زمان عقد قرارداد، نماد معاملاتی آن بسته باشد، ارزش آن ورقۀ بهادار در محاسبات این پیوست صفر در نظر گرفته میشود. هر زمان نماد معاملاتی ورقۀ بهادار یادشده بازگشایی شود، ارزش آن براساس قیمت پایانی روز بازگشایی نماد محاسبه شده و به عنوان آوردۀ جدید سرمایهگذار در همان روز بازگشایی در نظر گرفته میشود.




به منظور ارائهی روشی که بتوان از طریق آن بازدهی سبدهای اختصاصی و همچنین عملکرد سبدگردان را ارزیابی نمود از دو فرمول شناخته شده جهانی تحت عناوین "نرخ بازدهی پول وزنی (MWRR)" و "نرخ بازدهی زمان وزنی (TWRR)" استفاده می شود.
نرخ بازدهی پول وزنی (Money Weighted Rate of Return) برای هر سبد اختصاصی محاسبه می شود و به گونه ای طراحی شده تا بیانگر بازدهی هر سبد اختصاصی تحت مدیریت سبدگردان باشد. نرخ بازدهی زمان وزنی (Time Weighted Rate of Return) بیانگر بازدهی کل تمامی دارایی های تحت مدیریت سبدگردان است و نشان می دهد که سبدگردان به طور متوسط تا چه حد در مدیریت سبدهای اختصاصی تحت مدیریت خود ، موفق به کسب بازدهی برای سرمایه گذاران شده است . به عبارت دیگر سرمایه گذاران با توجه به بازدهی سبدگردان ، می توانند عملکرد سبدگردان را ارزیابی نموده و در مورد سپردن مدیریت دارایی خود به سبدگردان تصمیم گیری کنند . سبدگردان ، بازدهی سبد اختصاصی را به صاحب سبد (سرمایه گذار) مربوطه گزارش می کند، در حالیکه موظف است بازدهی سبدگردان را جهت اطلاع عموم در تارنمای خود منتشر کند .
1- روش محاسبه بازدهی سبد اختصاصی
برای محاسبه بازدهی هر سبد اختصاصی از رابطۀ زیر استفاده میشود:
که در آن:
= MWRRit بازدهی سبد اختصاصی iام در دورۀ t،
Eit = ارزش سبد اختصاصی iام در پایان دورۀ t،
Bit = ارزش سبد اختصاصی iام در ابتدای دورۀ t،
Cij = جریان نقدی jام سبد اختصاصی iام در دورۀ t (افزایش سرمایه سرمایهگذار طی دوره به عنوان جریان نقدی ورودی و برداشت وی از سبد اختصاصی بهعنوان جریان نقدی خروجی تلقی میشود. جریان نقدی ورودی با علامت مثبت و جریان خروجی با علامت منفی خواهدبود)،
tij = زمان باقیمانده (به روز) از تاریخ وقوع جریان jام سبد اختصاصی iام تا پایان دورۀ t،
Tit = طول کل دورۀ زمانی مورد نظرt به روز،
2- روش محاسبۀ بازدهی سبدگردان
ابتدا کل دورۀ مورد نظر براساس تاریخ وقوع جریانهای نقدی (افزایش سرمایه یا برداشت سرمایهگذار) و تاریخ انعقاد قرارداد جدید سبدگردانی یا تاریخ خاتمه یک قرارداد سبدگردانی به زیر دورههای متعدد تقسیم میشود. بنابراین اگر جریان ورودی و خروجی در n تاریخ مختلف در طول دورۀ موردنظر، به وقوع بپیوندند، در نتیجه کل دوره به 1 + n زیر دوره تقسیم میشود که در آن زیر دورۀ اول از ابتدای دورۀ مورد نظر شروع شده و تا تاریخ وقوع اولین جریان نقدی ادامه مییابد و زیر دورۀ دوم از تاریخ وقوع جریان نقدی اول شروع شده و تا تاریخ جریان نقدی دوم ادامه مییابد و به همین ترتیب جریان نقدی دورۀ آخر از تاریخ وقوع آخرین جریان نقدی شروع شده و تا پایان دورۀ مورد نظر ادامه مییابد. برای مثال به نمودار زیر توجه شود:
پس از تقسیم کل دوره به زیر دورههای موردنظر، بازدهی هر زیر دورۀ nام به شرح زیر محاسبه میشود:
که در آن:
Ein = ارزش کل داراییهای تحت مدیریت سبدگردان iام (ارزش کل سبدهای اختصاصی سبدگردان) در انتهای زیر دورۀ nام (بدون در نظر گرفتن جریانات نقدی ورودی یا خروجی در انتهای دوره)
= Bin ارزش کل داراییهای تحت مدیریت سبدگردان iام (ارزش کل سبدهای اختصاصی سبدگردان) در ابتدای زیر دورۀ nام (با در نظر گرفتن جریانات نقدی ورودی یا خروجی در ابتدای زیر دوره )
پس از محاسبۀ بازدهی هر زیر دوره، بازدهی سبدگردان برای کل دورۀ موردنظر از رابطۀ زیر محاسبه میشود:
که در آن:
= TWRRit بازدهی سبد گردان i ام در دورۀ t،
=rin بازدهی زیر دورۀ nام داراییهای تحت مدیریت سبدگردان iام،
3- سالانه کردن نرخهای بازدهی :
برای سالانه کردن هریک از بازدهیهای محاسبهشده از فرمول زیر استفاده میشود:
که در آن:
= Rt بازدهی محاسبه شده (TWRR یا MWRR) که قصد سالانه کردن آن وجود دارد در دورۀ t،
= RA بازدهی سالانه شده،
= T طول دورۀ t به روز،
4- چگونگی محاسبۀ ارزش داراییهای سبداختصاصی :
در محاسبۀ نرخ بازدهی سبداختصاصی و نرخ بازدهی سبدگردان به شرح این پیوست، لازم است ارزش سبد یا سبدهای اختصاصی در ابتدا و انتهای هر دورۀ مورد نظر محاسبه گردد. ارزش سبد یا سبدهای اختصاصی باید مطابق دستورالعمل نحوۀ تعیین قیمت خرید و فروش اوراق بهادار در صندوقهای سرمایهگذاری، محاسبه گردد و در اجرای این دستورالعمل نکات زیر در نظر گرفتهشوند:
1-4-ارزش اوراق بهادار سبداختصاصی براساس قیمت فروش اوراق بهادار موضوع دستورالعمل« نحوۀ تعیین قیمت خرید و فروش اوراق بهادار صندوقهای سرمایهگذاری» محاسبه شود.
2-4- سبدگردان نباید قیمت اوراق بهادار سبداختصاصی را براساس آنچه در دستورالعمل یادشده پیشبینی شده است، تعدیل نماید.
3-4-در صورتیکه بخشی از آوردۀ مشتری را ورقۀ بهاداری تشکیل دهد که در زمان عقد قرارداد، نماد معاملاتی آن بسته باشد، ارزش آن ورقۀ بهادار در محاسبات این پیوست صفر در نظر گرفته میشود. هر زمان نماد معاملاتی ورقۀ بهادار یادشده بازگشایی شود، ارزش آن براساس قیمت پایانی روز بازگشایی نماد محاسبه شده و به عنوان آوردۀ جدید سرمایهگذار در همان روز بازگشایی در نظر گرفته میشود.
